GIZAZINEの記事をなぞってみる:「100人を部屋に集めてお金をランダムな相手に渡し続ける」とだんだんと貧富の差が生まれる
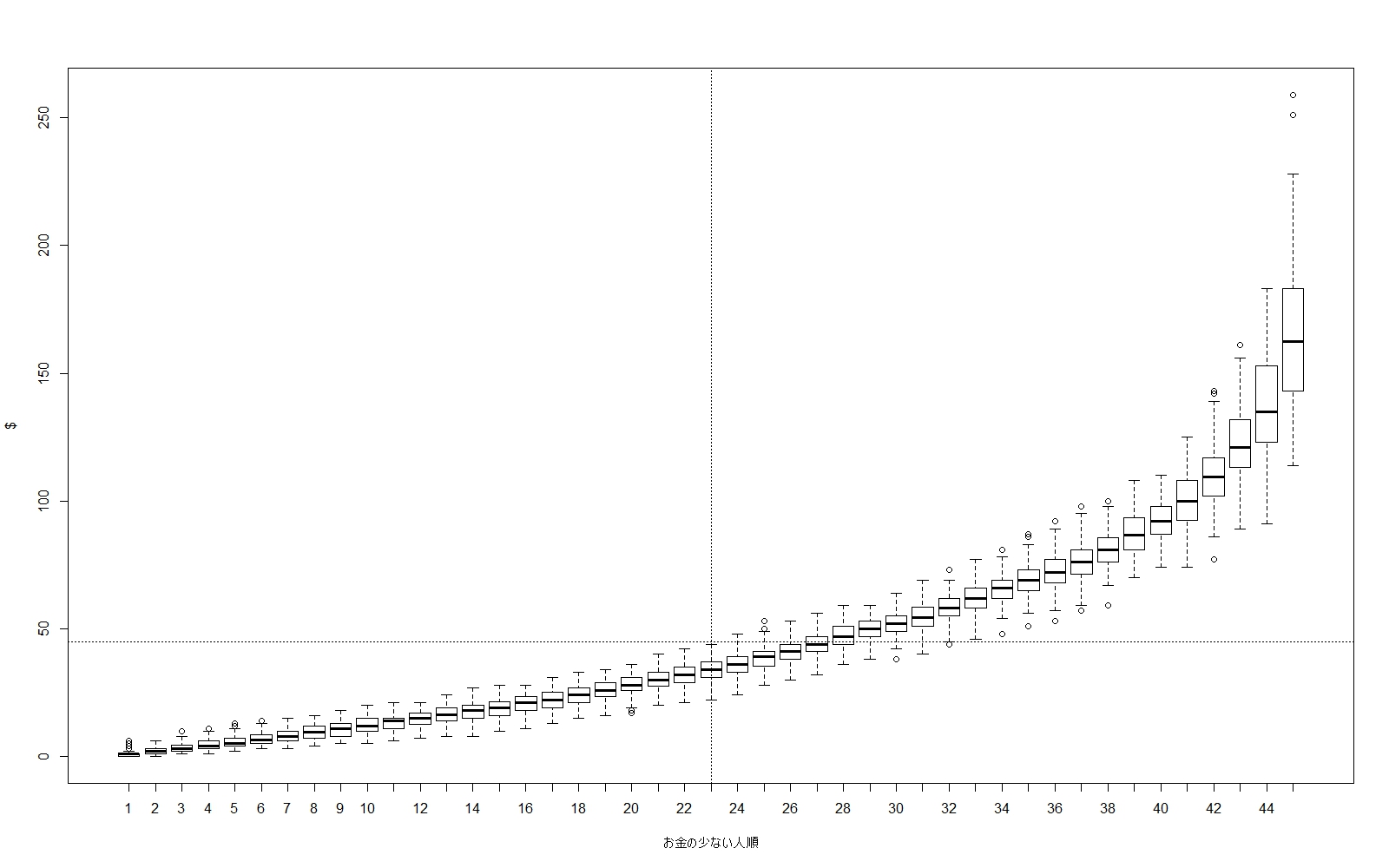
#7/12追記 普通にソートした順でboxplotをすれば分かりやすかったので最下部に図を追加
GIGAZINEで興味深い記事が。
「100人を部屋に集めてお金をランダムな相手に渡し続ける」とだんだんと貧富の差が生まれる
というもの。
記事の中では「45ドルを持った45人が、1カウントごとに誰かに1ドル渡す」というシミュレーション」
をしているので、同じようにRでやってみる。
N <- 45 #人数 st <- 45 #初期所持ドル turn <- 5000 #何回施行するか SN <- 100 #シミュレーション回数 result <- matrix(0, ncol = N, nrow = SN) for(j in seq_len(SN)){ phase <- matrix(0, ncol = N, nrow = turn+1) phase[1,] <- 45 give <- function(x){ non0num <- (x != 0) non0 <- sum(non0num) x <- (x - non0num) add <- sample(seq_len(N), non0, replace = TRUE) x <- x + as.numeric(table(factor(add, levels = seq_len(N)))) } for(i in seq_len(turn)){ phase[i + 1,] <- give(phase[i,]) } result[j,] <- phase[turn+1, ] cat(j, "; ") } hist(apply(result, 1, median)) (apply(result, 1, mean)) ##must 45 hist(apply(result, 1, max)) hist(apply(result, 1, min)) plot(0, xlim = c(0, 300), ylim = c(0, 0.03), type = "n", main = "density of $", ylab = "density", xlab = "$") plot1 <- function(x) lines(density(x), xlim = c(0, 300), add = T) apply(result, 1, plot1)
以下5000回目の状況(中央値など)を100回シミュレーションしたグラフ
中央値所持$、、、多くの場合45ドル無いんだねぇ

平均所持$(省略。当然全部45$)
最大所持$、、、150$オーバー当たり前なのね。3倍以上だね

最小所持$、、、0$の人が出て当たり前なのなー

5000回目のざっくりした密度100施行分

追記:普通にboxpotしたら分かりやすかった
